您好,歡迎光臨帝國科技!
帝國博客
更多>>6G發射器CCHD-957-25-24.576皮爾斯門振蕩器晶體負載計算
來源:http://m.mlnic.org.cn 作者:帝國科技 2023年06月21
6G發射器CCHD-957-25-24.576皮爾斯門振蕩器晶體負載計算
圖1中的Pierce-gate振蕩器已為大多數設計人員所熟知,但很少有人理解如何正確指定石英晶體。在拓撲結構中使用的晶體 圖1可以是基本的AT切割或BT切割。BT切割晶體具有較差的 與AT-CUT相比,頻率在整個溫度范圍內的穩定性。這種拓撲使用 平行晶體和非串聯晶體。當指定平行晶體時,晶體 制造商還會要求您指定負載電容。
為了理解負載電容,考慮一個串聯LC電路,其中 晶體是L,負載電容是c LC電路的頻率將作為L和c的函數而變化水晶案件,L是固定的(溫度不是一個參數)
晶振數據表上的參數由控制 負載電容是25°c時中心頻率的容差或校準值,如果振蕩器電路的設計與 負載電容值,則中心頻率將不在 數據表的公差極限。有趣的是,一個所謂的 并聯晶體要求其容性負載有效串聯 用它的終端。
那么,Pierce-gate振蕩器給帶來的負載是多少呢水晶?
圖2所示的簡單計算將告訴你。
Cload = {[Cin+C1][C2+Cout]/[Cin+C1+C2+Cout]} + pcb strays (2~3pF)
Example: Let Cin = Cout = 5pF; C1 = C2 = 20pF Therefore, Cload = {[25][25]/[25+25]} + 3 = 12.5 + 3 = 15.5pF
Select Cload = 16pF
6G發射器CCHD-957-25-24.576皮爾斯門振蕩器晶體負載計算
.JPG)
6G發射器CCHD-957-25-24.576皮爾斯門振蕩器晶體負載計算
圖2中大多數設計師忽略的最重要的事實是 反相器門的內部輸入和輸出電容。這些 與外部(C1和C2)相比具有顯著的價值。如果Cin 和Cout,則每個的猜測值為5 pF是好的 開始吧。稍后可以通過改變啟動來優化電路 C1和C2的價值觀。所以不要丟掉你的大寬容; 計算石英晶體振蕩器容性負載
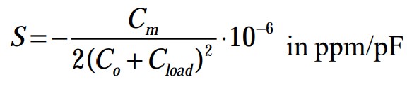
現在你知道如何計算負載電容 電路呈現給晶體,你應該選擇什么負載電容?在回答這個問題之前,你需要知道晶振中心頻率對負載的靈敏度 電容。這稱為微調靈敏度S,由下式給出:
.JPG)
其中Cm是晶體的運動電容, c0是晶體的并聯電容, Cload是負載電容。
從配平靈敏度方程中你可以看到,你使Cload越小,越大 微調靈敏度。換句話說,如果你正在設計一個固定頻率的時鐘,那么你 選擇高Cload值,如20 pF。然而,如果你正在設計一個可變頻率 振蕩器(VCXO),選擇低Cload值,如14 pF
C1和C2值也會影響振蕩器的增益。值越低,越高 收益。同樣,C2/C1比也影響增益。為了增加增益,使C1小于 C2。討論請求(Request for Discussion)。6G發射器CCHD-957-25-24.576皮爾斯門振蕩器晶體負載計算
為了理解負載電容,考慮一個串聯LC電路,其中 晶體是L,負載電容是c LC電路的頻率將作為L和c的函數而變化水晶案件,L是固定的(溫度不是一個參數)
晶振數據表上的參數由控制 負載電容是25°c時中心頻率的容差或校準值,如果振蕩器電路的設計與 負載電容值,則中心頻率將不在 數據表的公差極限。有趣的是,一個所謂的 并聯晶體要求其容性負載有效串聯 用它的終端。
那么,Pierce-gate振蕩器給帶來的負載是多少呢水晶?
圖2所示的簡單計算將告訴你。
Cload = {[Cin+C1][C2+Cout]/[Cin+C1+C2+Cout]} + pcb strays (2~3pF)
Example: Let Cin = Cout = 5pF; C1 = C2 = 20pF Therefore, Cload = {[25][25]/[25+25]} + 3 = 12.5 + 3 = 15.5pF
Select Cload = 16pF
6G發射器CCHD-957-25-24.576皮爾斯門振蕩器晶體負載計算
6G發射器CCHD-957-25-24.576皮爾斯門振蕩器晶體負載計算
圖2中大多數設計師忽略的最重要的事實是 反相器門的內部輸入和輸出電容。這些 與外部(C1和C2)相比具有顯著的價值。如果Cin 和Cout,則每個的猜測值為5 pF是好的 開始吧。稍后可以通過改變啟動來優化電路 C1和C2的價值觀。所以不要丟掉你的大寬容; 計算石英晶體振蕩器容性負載
現在你知道如何計算負載電容 電路呈現給晶體,你應該選擇什么負載電容?在回答這個問題之前,你需要知道晶振中心頻率對負載的靈敏度 電容。這稱為微調靈敏度S,由下式給出:
其中Cm是晶體的運動電容, c0是晶體的并聯電容, Cload是負載電容。
從配平靈敏度方程中你可以看到,你使Cload越小,越大 微調靈敏度。換句話說,如果你正在設計一個固定頻率的時鐘,那么你 選擇高Cload值,如20 pF。然而,如果你正在設計一個可變頻率 振蕩器(VCXO),選擇低Cload值,如14 pF
C1和C2值也會影響振蕩器的增益。值越低,越高 收益。同樣,C2/C1比也影響增益。為了增加增益,使C1小于 C2。討論請求(Request for Discussion)。6G發射器CCHD-957-25-24.576皮爾斯門振蕩器晶體負載計算
| 原廠代碼 | 品牌 | 型號 | 類型 | 頻率 | 頻率穩定度 |
| CCLD-033-50-100.000 | Crystek晶振 | CCLD | XO (Standard) | 100MHz | ±50ppm |
| CCPD-033-50-100.000 | Crystek晶振 | CCPD-033 | XO (Standard) | 100MHz | ±50ppm |
| CCLD-033-50-125.000 | Crystek晶振 | CCLD | XO (Standard) | 125MHz | ±50ppm |
| CCPD-033-50-156.250 | Crystek晶振 | CCPD-033 | XO (Standard) | 156.25MHz | ±50ppm |
| CCLD-033-50-156.250 | Crystek晶振 | CCLD | XO (Standard) | 156.25MHz | ±50ppm |
| CCPD-033-50-161.1328 | Crystek晶振 | CCPD-033 | XO (Standard) | 161.1328MHz | ±50ppm |
| CCPD-034-50-200.000 | Crystek晶振 | CCPD-034 | XO (Standard) | 200MHz | ±50ppm |
| CCHD-575-50-100.000 | Crystek晶振 | CCHD-575 | XO (Standard) | 100MHz | ±50ppm |
| CCHD-575-50-80.000 | Crystek晶振 | CCHD-575 | XO (Standard) | 80MHz | ±50ppm |
| CE3391-8.000 | Crystek晶振 | C33 | XO (Standard) | 8MHz | ±25ppm |
| CCPD-033-50-77.760 | Crystek晶振 | CCPD-033 | XO (Standard) | 77.76MHz | ±50ppm |
| CCPD-033-50-106.250 | Crystek晶振 | CCPD-033 | XO (Standard) | 106.25MHz | ±50ppm |
| CCHD-575-25-24.576 | Crystek晶振 | CCHD-575 | XO (Standard) | 24.576MHz | - |
| CCHD-950-50-45.1584 | Crystek晶振 | CCHD-950 | XO (Standard) | 45.1584MHz | ±50ppm |
| CCHD-950-50-80.000 | Crystek晶振 | CCHD-950 | XO (Standard) | 80MHz | ±50ppm |
| CCHD-957-25-22.5792 | Crystek晶振 | CCHD-957 | XO (Standard) | 22.5792MHz | ±25ppm |
| CCHD-950-50-100.000 | Crystek晶振 | CCHD-950 | XO (Standard) | 100MHz | ±50ppm |
| CCPD-575X-20-100.000 | Crystek晶振 | CCPD-575 | XO (Standard) | 100MHz | ±20ppm |
| CPRO33-100.000 | Crystek晶振 | CPRO | XO (Standard) | 100MHz | ±25ppm |
| CPRO33-10.000 | Crystek晶振 | CPRO | XO (Standard) | 10MHz | ±25ppm |
| CPRO33-20.000 | Crystek晶振 | CPRO | XO (Standard) | 20MHz | ±25ppm |
| C3391-4.096 | Crystek晶振 | C33 | XO (Standard) | 4.096MHz | ±25ppm |
| CCHD-575-25-22.5792 | Crystek晶振 | CCHD-575 | XO (Standard) | 22.5792MHz | - |
| CCHD-575-50-125.000 | Crystek晶振 | CCHD-575 | XO (Standard) | 125MHz | ±50ppm |
| CCHD-950-50-49.152 | Crystek晶振 | CCHD-950 | XO (Standard) | 49.152MHz | ±50ppm |
| CCPD-575X-20-80.000 | Crystek晶振 | CCPD-575 | XO (Standard) | 80MHz | ±20ppm |
| CCHD-957-25-24.576 | 有源晶振 | CCHD-957 | XO (Standard) | 24.576MHz | ±25ppm |
| CCHD-957-25-45.1584 | Crystek晶振 | CCHD-957 | XO (Standard) | 45.1584MHz | ±25ppm |
| CCHD-957-25-49.152 | Crystek晶振 | CCHD-957 | XO (Standard) | 49.152MHz | ±25ppm |
| CCPD-575X-20-125.000 | Crystek晶振 | CCPD-575 | XO (Standard) | 125MHz | ±20ppm |
| CPRO33-50.000 | Crystek晶振 | CPRO | XO (Standard) | 50MHz | ±25ppm |
| CPRO33-125.000 | Crystek晶振 | CPRO | XO (Standard) | 125MHz | ±25ppm |
| CPRO33-156.250 | Crystek晶振 | CPRO | XO (Standard) | 156.25MHz | ±25ppm |
| C3290-1.544 | Crystek晶振 | C3290 | XO (Standard) | 1.544MHz | ±100ppm |
| C3290-1.843200 | Crystek晶振 | C3290 | XO (Standard) | 1.8432MHz | ±100ppm |
| C3290-10.000 | Crystek晶振 | C3290 | XO (Standard) | 10MHz | ±100ppm |
| C3290-12.000 | Crystek晶振 | C3290 | XO (Standard) | 12MHz | ±100ppm |
正在載入評論數據...
此文關鍵字: 晶體振蕩器
相關資訊
- [2026-02-05]CRYSTEK打破時鐘精度天花板CCSO-914X超低相位噪聲晶振來襲
- [2026-01-27]信號抖動終結者Suntsu松圖超低抖動振蕩器來襲
- [2026-01-22]TAITIEN時鐘憑借計時功能和GPS同步技術成為不可或缺的時間保障
- [2026-01-22]TAITIEN泰藝晶振的低功耗OCXO技術開啟電子新時代
- [2024-03-18]Raltron產品和技術應用說明CO13050-32.000-T-TR
- [2024-03-13]Bliley恒溫晶振BOVTE-50MDA-DCCB的保質期有多長?
- [2024-03-05]Renesas推出RA8T1系列低功耗MCU
- [2024-03-04]Vishay推出VEMD2704具有提高了可見光靈敏度




業務經理